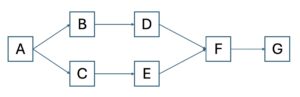
En gestión de proyectos, una herramienta visual que representa todas las tareas (actividades) de un proyecto y las dependencias lógicas entre ellas. Es esencial para la programación y el cálculo de la ruta crítica.
Descripción
El diagrama de red actúa como un mapa del proyecto, mostrando la secuencia en la que deben realizarse las actividades.
Esta técnica permite a la dirección del proyecto:
- visualizar el flujo de trabajo completo
- identificar rápidamente la ruta crítica para centrar el esfuerzo de gestión
- determinar las fechas de inicio y fin más tempranas y tardías de cada tarea
Componentes
Un diagrama de red se compone de dos tipos de elementos.
Nodos
Los nodos o cajas representan las actividades del proyecto.
Contienen información como el nombre de la tarea, su duración y las fechas de inicio/fin tempranas y tardías.
Flechas
Las flechas muestran las dependencias o la lógica de la secuencia.
Indican qué actividad debe completarse antes de que otra pueda comenzar, es decir, las relaciones de precedencia.
