Un estadístico que se usa para evaluar si existe una diferencia significativa entre los valores observados y los valores esperados en un conjunto de datos categóricos.
Descripción
La prueba de chi cuadrado mide la discrepancia entre lo que se espera teóricamente y lo que realmente se observa. Se usa comúnmente en pruebas de hipótesis, especialmente para analizar distribuciones de frecuencia.
Su fórmula es:

Donde:
Oi: frecuencia observada en la categoría i
Ei: frecuencia esperada en la categoría i
Ejemplos
Supongamos que hemos realizado una encuesta a 100 personas sobre su bebida favorita (café o te) y sus respuestas se agruparon por género. Los datos observados se reflejan en la siguiente tabla de contingencia:
| Género | Café | Te | Total |
|---|---|---|---|
| Hombre | 20 | 10 | 30 |
| Mujer | 30 | 40 | 70 |
| Total | 50 | 50 | 100 |
1. Hipótesis
-
H₀ (hipótesis nula): No hay relación entre el género y la preferencia de bebida.
-
H₁ (hipótesis alternativa): Sí hay relación entre el género y la preferencia de bebida.
2. Calcular las frecuencias esperadas
Se calculan con la siguiente fórmula:

Las frecuencias esperadas serían:
| Género | Café | Te |
|---|---|---|
| Hombre | 15 | 15 |
| Mujer | 35 | 35 |
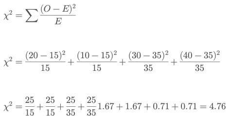
3. Calcular χ²

4. Comparar con valor crítico
Con gl = (filas – 1)(columnas – 1) = (2-1)(2-1) = 1 y un nivel de significancia del 5% (α = 0.05), el valor crítico es aproximadamente 3.84.
Como 4.76 > 3.84, se rechaza la hipótesis nula (H₀).
5. Conclusión
Hay evidencia estadística de que la preferencia de bebida depende del género.